软考备考每日试题(240625)
小羊
2024-06-25 09:33:54每期慧翔天地小编都会附上5~10道软考综合测试题,以帮助大家达到练习的效果,本期软考试题答案会附加在下一期的结尾。大家如果想了解软考考试报考流程、报考时间、报考条件、报考费用、软考报考资格测评等等均可访问站内进行了解。
软考中高项备考刷题交流QQ群:221801769(点击一键加群)
6、物联网应用已经走进了我们的日常生活,()不属于物联网的感知层。
A.心率传感器
B.北斗定位系统
C.网络总线
D.条码和二维码
7、DBMS用于建立,使用和维护数据库,()不是其选型的首要原则。
A、稳定可靠
B、可扩性
C、经济性
D、安全性
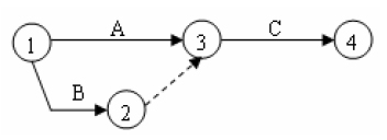
8、对以下箭线图,理解正确的是()。

A.活动A和B可以同时进行;只有活动A和B都完成后,活动C才开始
B.活动A先于活动B进行;只有活动A和B都完成后,活动C才开始
C.活动A和B可以同时进行;A完成后C即可开始
D.活动A先于活动B进行;A完成后C即可开始
9、对于一个新分配来的项目团队成员,()应该负责确保他得到适当的培训。
A.项目发起人
B.职能经理
C.项目经理
D.培训协调员
10、某公司的质量目标是每千行代码缺陷数不大于2.5个,项目组为了确保目标的达成,并能对软件开发项目组5个代码编写人员各自的质量进行趋势分析,适合使用的质量工具是()
A、散点图
B、矩阵图
C、控制图
D、亲和图
(240624)答案
1、C
2、D
3、D
4、D
5、D




PM、PMP、PMO分别都是什么 以及三者的关系
pmp证书是不是烂大街了
PMP证书在国内挂靠一年多少钱
23个项目管理经典案例——一个成功的项目管理
手把手教你excel项目进度管理表甘特图
pmo是什么职位 有哪些工作职责
PMP十大培训机构哪个好
什么是ACP?ACP的含金量高吗?