软考备考每日试题(210730)
慧翔天地
2021-07-30 16:23:52软考成绩已经公布了,大家可以访问软考成绩查询页面进行成绩查询。
每期慧翔天地小编都会附上5~10道软考综合测试题,以帮助大家达到练习的效果,本期软考试题答案会附加在下一期的结尾。大家如果想了解2021年软考考试报考流程、报考时间、报考要求、软考报考费用、软考成绩查询、软考报考资格测评等等均可访问站内进行了解。
71、The()can realize seamless integration of various manufacturing devices equipped with sensing,identification,processing,communication actuation and networking capabilities.
A.Internet of things
B.cloud computing
C.big data
D.artificial intelligence
72、Hige-profile examples of( )incloud autonomous vehicles(such as drones and self-driving cars),Creating art(such as poetry)and online assjstants(such as Siri).
A.internet of things
B.cloud computing
C.big data
D.artificial intelligence
73、The( )process differs from the()process in that the former is primarily concerned with acceptance of the deliverables,while the latter is primarily concerned with correctness of the deliverables.
A.Perform Quality Assurance
B.Validate Scope
C.Control Quality
D.Define Scope
74、A.Perform Quality Assurance
B.Validate Scope
C.Control Quality
D.Define Scope
75、( )is a tehnique for estimating the duration or cost of an activity or a project using historical data from a similar activity or project.
A.Analogous estimating
B.parametric estimating
C.Three-Point estimating
D.Bottom estimating
?。?10729)答案
66、参考答案:B
解析:控制质量
(输入):
1)项目管理计划
2)质量测量指标
3)质量核对单
4)工作绩效数据
5)批准的变更请求
6)可交付成果
7)项目文件
67、参考答案:C
解析:
这里活动不是很多,遍历一下所有活动,最终找出最短路径是12346578,费用是400元。
68、参考答案:D
解析:
EMV决策树计算
100*50+200*20%+250*15%-500*5%-50=52.5
69、参考答案:C
解析:
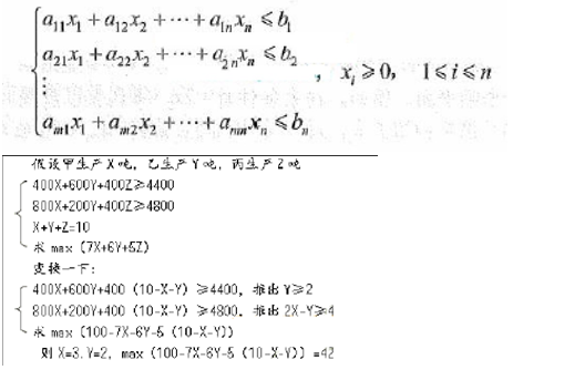
求极大值(或极小值)的模型表达如下。

70、参考答案:B
解析:
动态规划法是决策分析中的一种常用方法,是解决多阶段决策过程问题的一种合适化方法。所谓多阶段决策过程,就是将问题分成若干个相互联系的阶段,每个阶段都作出决策,从而使整个过程达到合适化。许多实际问题利用动态规划法处理,常比线性规划法更为有效,特别是对于那些离散型问题。
设计一个标准的动态规划算法,通??砂椿纸锥魏脱≡褡刺礁霾街杞?。





PM、PMP、PMO分别都是什么 以及三者的关系
pmp证书是不是烂大街了
PMP证书在国内挂靠一年多少钱
23个项目管理经典案例——一个成功的项目管理
手把手教你excel项目进度管理表甘特图
pmo是什么职位 有哪些工作职责
PMP十大培训机构哪个好
什么是ACP?ACP的含金量高吗?