2021下半年软考高项综合知识真题及答案(上)
慧翔天地
2021-11-09 15:11:14计算机软件资格考试是由国家人力资源和社会保障部、工业和信息化部领导下的考试,其目的是科学、公正地对全国计算机与软件专业技术人员进行职业资格、专业技术资格认定和专业技术水平测试。关于2021下半年软考高项综合知识真题及答案(上),慧翔天地在这里给大家简单介绍一下。
软考中高项备考刷题交流QQ群:221801769(点击一键加群,进群获取更多试题)
1、"十四五”期间,我国关注推动政务信息化共建共用,推动构建网络安全空间命运共同体,属于____建设内容。
A.科技中国
B.数字中国
C.制造中国
D.创新中国
2、____关注的是业务:以业务驱动技术,强调IT与业务的对齐,以开放标准封装业务流程和已有的应用系统,实现应用系统之间的相互访问。
A.面向过程方法
B.面向对象方法
C.面向构件方法
D.面向服务方法
3、__是一种新型的计算机模式,其核心在于对开放网络环境下的大规模互联网用户群体资源进行有效管理和系统利用,以实现智能较大化。
A.群智协同计算
B.边缘计算
C.泛在计算
D.量子协同计算
4、在可用性和可靠性规划与设计中,需要引入特定的方法来提高系统的的可用性,其中把可能出错的组件从服务中删除属于_ _策略。
A.错误检测
B.错误恢复
C.错误预防
D.错误清除
5、2021年9月1日起施行《关键信息基础设施安全?;ぬ趵?中华人民共和国国务院令第745号)规定运营者应当自行或委托网络安全服务机构对关键信息基础设施网络安全检测和风险评估。
A.每两年至少进行--次
B.每年进行一次
C.每半年至少进行一次
D.每季度至少进行--次
6、当前人工智能细分领域涌现出大批专业型深度学习架构,其中____擅长自然语言处理。
A.ROS
B.OpenCV
C.NLTK
D.ARTOOLKit
7、数据分析师在数据治理__阶段,对业务进行分析,并应用业务据点的方法,分析并获取所需要的数据。
A.数据存储于管理
B.数据应用
C数据脱敏
D.数据规划
8、国务院国资委办公厅2020年8月发布的《关于加快推进国有企业数字化转型工作的通知》中提出四个转型的方向,其中"探索平台化,集成化,场景化增值服务”属于____推进的内容。
A.产品创新数字化
B.生产运营智能化
C.用户服务敏捷化
D.产业体系生态化
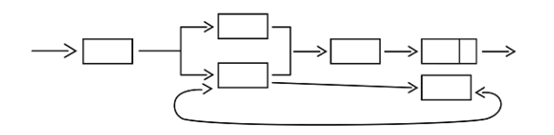
9、图中的软件架构设计属于____风格。

A.虚拟机风格
B.调用返回风格
C独立构件风格
D.数据流风格
10、CMMI的项目管理类过程域不包含____。
A.配置管理
B.量化项目管理
C.项目监督与控制
D.风险管理、
11、主流的软件开发工具(IDE)均提供一些稿件,用来进行代码的静态检查,帮助开发人员做出质量高的软件,这种稿件所进行的测试不属于____。
A.静态测试论第
B.盲盒
C.代码走查
D.功能测
12、企业内的应用集成可以包括表示集成、数据集成、控制集成和业务流程集成等多个层次和方面,对于这些集成关系的描述。不正确的是_。
A.在业务逻辑比较稳定的情况下,数据集成比表示集成更灵活
B.控制集成比表示集成和数据集成灵活性更高
C.数据集成比控制集成复杂性高,控制集成比表示集成复杂性高
D.业务流程集成的复杂性较高,这种集成超越了数据和系统
13、信息必须依赖其存储、传输、处理及应用的载体(媒介)而存在信息系统设备的安全主要包括____。
A.秘密性可靠性稳定性
B.秘密性完整性可用性
C.稳定性可靠性可用性
D.稳定性完整性可用性
14、《国家秘密法》属于____。
A.具有规范信息安全技术、信息安全管理方面的规定
B.直接针对信息安全的特别规定
C.规范和惩罚网络信息犯罪的法律
D.一般性法律规定
15、关于RSA算法的描述,不正确____。
A.RSA算法是非对称算法的代表
B.RSA算法加密密钥与解密密钥不同
C.RSA算法中解密密钥公开,而加密密钥需要保密
D.利用RSA密码可以同时实现数字签名和数据加密
16、依据2021年印发的5G应用发展水平显著提升,综合实力持续加强,打造___深度融合新生态。
(1)信息技术(2)通信技术(3)运营技术(4)网络技术
A.(1)(2)(3
B.(1)(2)(4)
C.(2)(3)(4)
D.(1)(3)(4)
17、当前我国政府信息化和电子政务建设发展迅速,人民群众办理很多业务只需要通过浏览亲就可以完成,这些业务单位信息系统架构规划属于_。
A.文件服务器架构
B.典型客户端/服务器两层架构
C.客户/服务器N层架构
D.基于Web的架构
18、信息化系统规划中。制定项目计划通常用到____。
A.RERT图
B.R/O矩阵
C.R/D矩阵
D.Pareto图
19.2021年实施的《中华人民共和国个人信息?;しā分泄娑?,个人信息处理者处理不满____周岁未成年人个人信息的,应当取得未成年人的父母或其他监护人同意。
A.十二
B.十四
C.十六
D.十八
20、GB/T 8566-2007《信息技术软件生存周期过程》中,将软件生成周期分为获取过程、供应过程、开发过程、运作过程和()。
A.验收过程
B.维护过程
C.移植过程
D.退役过程
21、()往往决定了项目的方向,一旦开发人员估计错误,将会出现严重的后果。
A.技术可行性分析
B、人员可行性分析
C.经济可行性分析
D.社会可行性分析
22、关于项目招投标的描述,不正确的是:()。
A.任何单位和个人不得以任何方式为招标人指定招标代理机构
B、招标项目,共收到两个投标人的标书,则该招标人需重新招标
C.标书以邮寄方式递交的,以“邮戳为准’
D.投标价格低于成本不符合中标人条件
23.使用Scrum进行敏捷项目管理,其中,()负责维护进程和任务。
A.产品负责人
B.Scrum主管
C.开发团队
D.系统架构师
24、某100人的公司承接了一个大型项目,所有部门都参与了该项目,其中55人为全职参与。项目经理小A专负责项目管理,公司配置管理人员小B兼职负责该项目的行政工作。则该公司的组织结构类型是()。
A、强矩阵型组织
B、弱矩阵型组织
C.项目型组织
D.平衡矩阵型组织
25、关于项目阶段、项目生命周期及项目管理过程的描述,不正确的是:()。
A.项目生命周期与项目管理过程组涵义相同,即同一事物的两个说法
B.做出变更和纠正错误的成本,随着项目越来越接近完成而显著增高
C.成本与人力投入在项目开始时较低,在执行期间达到较高,在项目快要结束时间快速回落
D、在螺旋模型中,每个周期一般划分为制定计划、风险分析、实施工程和客户评估四个阶段
26、关于项目管理计划的描述,不正确的是____。
A、头脑风暴、冲突管理和一会管理可帮助项目管理计划的指定
B、项目章程由项目经理签字、是编制项目管理计划的依据之一
C、项目管理不能理想化期望项目管理计划一步到位
D、组织的过程测量数据库也可以是项目管理计划指定的依据
27、在项目管理中,根据可能的项目或环境变量的变化,以及他们与其他变量之间的关系,利用____用来预测潜在的后果。
A、会议
B、项目管理信息系统
C、分析技术
D、专家判断
28、属于整体变更控制的成果是____。
?、俦涓肭螈谙钅抗芾砑苹垄酃ぜ奂ㄐ畔ⅱ芄ぜ奂ㄐПǜ姊荼涓罩劲尴钅课募?/p>
A、①②③
B、④⑤⑥
C、②③⑥
D、②⑤⑥
29、范围管理计____。
A、确定WBS满足项目和职能要求
B、确定所有的工价职责需分配到个人或组织单方
C、确定如何处理项目范围说明书的变更
D、确定并正式验收可交付成果的正确性
30、关于收集需求的描述,不正确的是____。
A、德尔菲技术通过组织专家讨论、并投票来排列最有用创意
B、QFD对供量需求分为基础、期望和意外需求
C、把性文件的需求文件不能作为基准
D、和不能将设计之素或测试案例回溯到需求文件,就可能出现镀金行为
31、在确认范围过程中,??锳实现设备的运行功能,??锽实现运行过程中实时运检设备状态数据的功能、则项目计划网络图中、AB可表示的依赖关系为()。
A、F-S
B、F-F
C、S-S
D、S-F
32、某个程序的两个模块,模块A实现设备的运行功能,模块B实现设备运行过程中实时监控设备状态数据的功能。则项目计划网络图中,??锳和??锽的依赖关系可表示为()型。
A、F-S
B、F-F
C、S-S
D、S-F
33、某项目各活动关系及乐观、最可能、悲观完成时间、假设齐活动的三种完成时间付出β分布,按照三点估算该项目标准差时间为3.2天。完成的概率为95%?;疃羟袄止劭赡鼙郏ǎ?。

A 8 12 16
B A 15 18 27
C 5 7 9
D C 11 5 12
E B D 4 5 12
F E 5 13 15
A、42.6天到55.4天
B、45.8天到52.2天
C、61.4天到74.6天
D、64.7天到71.3天
34、某项目的进度网络图,在保障不会影响项目总工期的情况下,活动E最多能拖延()天。

A、0
B、1
C.2
D、3
35、某项目估算,最乐观成本,105万,利用三点估算,按三角分布计算出的值为94万,按分布计算出的值为94.5,则最悲观成本为()。
A、80
B、81
C.82
D、83
36、某项目按工作量平均分配到10月完成,每月成本相同,项目管理储备15万元,在项目进行到第三个月来的,项目实际花费为BAC的30%完成总工作量的20%,如果不加纠偏根据当前进度,项目完工估算为120万元则项目总预算为()万元。
A.80
B、85
C、90
D、95
37、四个项目甲、乙、丙、丁的工期均是四年,在前列年来时,各项目进度数据如表所示,则最有可能在按时完工的同时并能更好控制成本的项目是()。

A、甲
B、乙
C、丙
D、丁
38、规划质量管理的目的是()。
A、准备对策,确保符合质量要求
B、建立对未来输出在完工时满足特定需求和期望的信心
C、评估绩效
D、确保项目满足承诺的需求
39、实施质量确保的主要作用是()。
A、明确项目的质量意识和质量追求
B、把质量目标分解落实到各部门]及项目全体成员
C、促进质量过程改进
D、识别过程低效或产品质量低劣的原因
40、关于质量控制的描述,不正确的是()。
A、该过程所产生的数据为质量确保过程所用
B、工作绩效数据是该过程的输入
C、质量控制是审计质量要求
D、确认的变更是该过程的输出





PM、PMP、PMO分别都是什么 以及三者的关系
pmp证书是不是烂大街了
PMP证书在国内挂靠一年多少钱
23个项目管理经典案例——一个成功的项目管理
手把手教你excel项目进度管理表甘特图
pmo是什么职位 有哪些工作职责
PMP十大培训机构哪个好
什么是ACP?ACP的含金量高吗?