软考备考每日试题(220315)
慧翔天地
2022-03-15 16:49:10每期慧翔天地小编都会附上5~10道软考综合测试题,以帮助大家达到练习的效果,本期软考试题答案会附加在下一期的结尾。大家如果想了解2022年软考考试报考流程、报考时间、报考要求、软考报考费用、软考成绩查询、软考报考资格测评等等均可访问站内进行了解。
目前全国各省市正在陆续发布2022上半年软考报名时间,详情请见《2022上半年全国各省市软考报名缴费时间公布》。
软考中高项备考刷题交流QQ群:221801769(点击一键加群)
?。?)当前人工智能细分领域涌现出大批专业型深度学习架构,其中(6)擅长自然语言处理。
A.ROS
B.OpenCV
C.NLTK
D.ARTOOLKit
(7)数据分析师在数据治理(7)阶段,对业务进行分析,并应用业务据点的方法,分析并获取所需要的数据。
A.数据存储与管理
B.数据应用
C.数据脱敏
D.数据规划
?。?)国务院国资委办公厅2020年8月发布的《关于加快推进国有企业数字化转型工作的通知》中提出四个转型的方向,其中“探索平台化、集成化、场景化增值服务”属于推进(8)的内容。
A.产品创新数字化
B.生产运营智能化
C.用户服务敏捷化
D.产业体系生态化
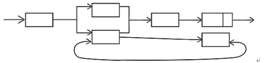
?。?)图中的软件架构设计属于(9)风格。

A.虚拟机风格
B.调用返回风格
C.独立构件风格
D.数据流风格
?。?0)CMMI的项目管理类过程域不包含(10)。
A.配置管理
B.量化项目管理
C.项目监督与控制
D.风险管理
?。?20314)答案
(1)参考答案:B
解析:用排除法。看看4个选项中,哪个跟网络的联系最为密切?
?。?)参考答案:D
解析:把用户的业务用软件模块实现,而这个??樵虬凑找的诒曜伎?,从而可以实现互联互通、互相调用。这样的???,就是“服务”。而服务之间,如何架构?则需要“D.面向服务方法”。
这题,在我的冲刺课里,作为一个知识点,已经讲透。
●(3)参考答案:A
解析:你得仔细审题!看看题干里提到的“大规?;チ没禾遄试唇杏行Ч芾砗拖低忱谩薄ⅰ爸悄堋?。如果你还要仔细追究,请网上搜索一下,这4个选项的定义。
?。?)参考答案:C
解析:常识题,用排除法。
如果你想查找该题的出处,请看清华版《信息系统项目管理师教程》(第3版)P35。
?。?)参考答案:B
解析:排除法。一季度一次,太频繁了,对一般的网站来说“安全保护”的成本太高!而“B.每年进行一次”,在权衡“安全”和“成本”之间,是一个平衡的、不错的选择。
进一步的资料,来自《关键信息基础设施安全?;ぬ趵返?7条。





PM、PMP、PMO分别都是什么 以及三者的关系
pmp证书是不是烂大街了
PMP证书在国内挂靠一年多少钱
23个项目管理经典案例——一个成功的项目管理
手把手教你excel项目进度管理表甘特图
pmo是什么职位 有哪些工作职责
PMP十大培训机构哪个好
什么是ACP?ACP的含金量高吗?