深圳蒲友论坛 ,千花网坊论坛上海,广东风楼阁全国信息,长沙后花园419论坛上海龙凤水磨论坛

慧翔天地管理咨询(北京)有限公司
PMI-PMP?
报考条件 报考费用 报考流程 报考时间 成绩查询 证书领取 备考攻略 每日试题
软考
报考条件 报考费用 报考流程 报考时间 成绩查询 证书领取 备考攻略 每日试题
NPDP?
报考条件 报考费用 报考流程 报考时间 成绩查询 证书领取 备考攻略 每日试题
项目管理专业人员评价(CSPM)
报考条件 报考费用 报考流程 报考时间 成绩查询 证书领取 备考攻略 每日试题
PMI-ACP?
报考条件 报考费用 报考流程 报考时间 成绩查询 证书领取 备考攻略 每日试题
当前位置:慧翔天地 > 新闻热点>软考备考每日试题(210602)

软考备考每日试题(210602)

慧翔天地
2021-06-02 16:23:36
  点击量:1595
报考资格在线测评
*
*
立即测评

2021年软考报考资格在线测评

      软考已经考试结束了,大家可以浏览我们的软考真题栏目观看我们的软考真题以进行估分。

      每期慧翔天地小编都会附上5~10道软考综合测试题,以帮助大家达到练习的效果,本期软考试题答案会附加在下一期的结尾。大家如果想了解2021年软考考试报考流程、报考时间、报考要求软考报考费用、软考成绩查询软考报考资格测评等等均可访问站内进行了解。

  26、关于成本类型的描述。不正确的是()

  A、项目团队差旅费、工资、税金、物料及设备使用费为直接成本

  B、随着生产量、工作量或时间而变的成本称为变动成本

  C、利用一定时间或资源生产一种商品时,便失去了使用这些资源生产其它较佳替代品的机会,称为机会成本

  D、沉没成本是一种历史成本,对现有决策而言是不可控成本

  27、某大型项目原计划于6个月后交付,目前由于设备故障、人员流失和客户审缓慢导致项目实际进展比计划延迟了1个月,作为项目经理首先应该做的是()

  A、对关键路径活动进行分析,评估是否可以进行赶工

  B、重新设立进度基线,并对新的进度基线进行评审

  C、记录进展缓慢的相关问题,并报告管理层

  D、与客户沟通项目延期的可能性

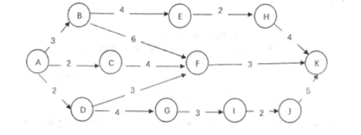
  28、下图为某规划的进度网络图(单位:周),在实际实施过程中活动B E比计划延迟了2周,活动J K比计划提前了3周,则该关键路径是(29),总工期是(28

进度网络图

  A、15

  B、14

  C、13

  D、12

  29、下图为某规划的进度网络图(单位:周),在实际实施过程中活动B E比计划延迟了2周,活动J K比计划提前了3周,则该关键路径是(29),总工期是(28

  A、A D G I J K

  B、A B F K

  C、A B E H K

  D、A D F K

  30、前导图法可以描述四种关键活动类型的依赖关系,对于接班同事A到岗,交班同事B才可以下班的交接班过程,可以用()描述

  A、S-F

image.png

  B、F-F.

image.png

  C、S-S.

image.png

  D、F-S

image.png

       软考备考每日试题(210601)点击跳转

 ?。?10601)答案

  21、答案、A

  题目解析、

  原有沟通渠道5X4/2=10条

  增加成员后沟通渠道变为9X8/2=36

  36-10=26。

  22、答案、B

  题目解析、

  X理论主要体现了独裁型管理者对人性的基本判断,这种假设认为:

  (1)一般人天性好逸恶劳,只要有可能就会逃避工作。

  (2)人生来就以自我为中心,漠视组织的要求。

  (3)人缺乏进取心,逃避责任,甘愿听从指挥,安于现状,没有创造性。

  (4)人们通常容易受骗,易受人煽动。

  (5)人们天生反对改革。

  崇尚X理论的管理者认为,在领导工作中必须对员工采取强制、惩罚和解雇等手段,强迫员工努力工作,对员工应当严格监督、控制和管理。在领导行为上应当实行高度控制和集中管理,在领导风格上采用独裁式的领导方式。

  只有B选项属于Y理论。

  23、答案、D

  题目解析、

  每项活动可以有超过一个人参与,但负责人只能有一个

  24、A

  题目解析、

  项目延期完工,SV小于零,进度落后。

  25、B

  题目解析、

  三点估算法,(最乐观4最可能最悲观)/6=(8 4 10 12)/6=10


?