2021年下半年山东省软考考试报名事项通知
慧翔天地
2021-08-03 15:34:12计算机软件资格考试是由国家人力资源和社会保障部、工业和信息化部领导下的考试,其目的是科学、公正地对全国计算机与软件专业技术人员进行职业资格、专业技术资格认定和专业技术水平测试。关于2021年下半年山东省软考考试报名事项通知,慧翔天地在这里给大家简单介绍一下。
关于2021年下半年计算机技术与软件专业技术资格(水平)考试考务工作有关问题的通知
各市人事考试机构:
根据《全国计算机专业技术资格考试办公室关于2021年计算机技术与软件专业技术资格(水平)考试工作安排及有关事项的通知》(计考办〔2021〕1号)要求,现将2021年下半年计算机技术与软件专业技术资格(水平)考试有关事项通知如下:
一、考试时间及专业设置
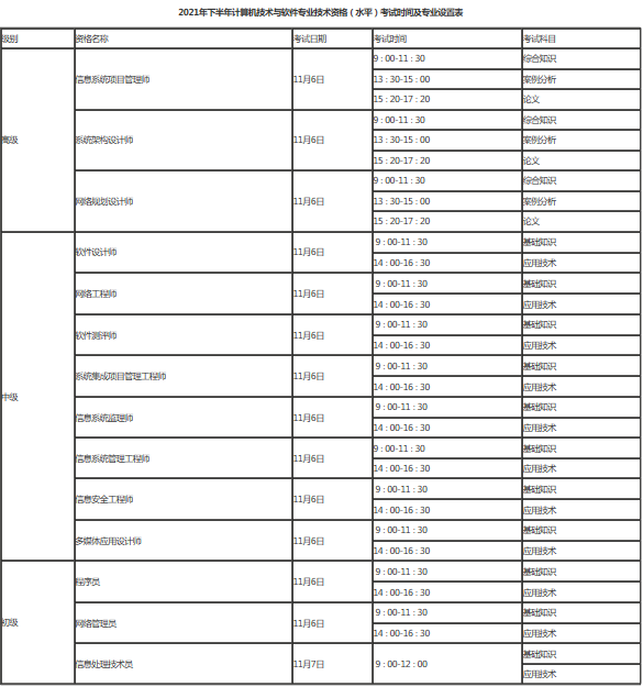
2021年下半年计算机技术与软件专业技术资格(水平)考试定于11月6、7日举行,具体考试时间及专业、科目设置详见附件。
二、考试题型及答题方式
信息处理技术员各科目全部采用上机考试的方式进行。其他各级别专业上午科目的考试均为客观题,在答题卡上作答;下午科目的考试为主观题,在答题纸上作答。
应试人员应考时,应携带黑色字迹的墨水笔、2B铅笔、橡皮等必要的文具。禁止应试人员将任何书籍、笔记、纸张、字典、计算器、手机及其它电子设备带入座位。
三、报名条件
(一)凡遵守中华人民共和国宪法和各项法律,有志于从事计算机软件工作的人员,不受学历、资历条件限制,只要达到相应的技术水平就可以报考相应的级别和专业。
(二)获准在中华人民共和国境内就业的外籍人员及港、澳、台地区专业技术人员,可报名参加考试。
四、报名安排及考场设置
(一)2021年下半年计算机技术与软件专业技术资格(水平)考试报名采用全国统一网上报名方式进行。应试人员在规定时间内登录中国计算机技术职业资格网(网址:http://www.ruankao.org.cn)进行网上报名。应试人员报名时,请选择工作地或居住地所在市为报考考区(合格证书由该市人事考试机构发放)。请应试人员根据网上报名流程,如实填写、提交报考信息并上传照片(照片须为近期免冠证件照,不得上传生活照、风景照),确认信息填写无误后进行网上缴费,逾期未办理网上缴费的,视作放弃报考资格。应试人员因提供相关信息、证件不实、报错考试科目、填错个人信息或不按要求上传照片造成的后果,由本人承担相应责任。
报名时间:8月11日9∶00—8月25日16∶00。
缴费时间:8月11日9∶00—8月27日16∶00。
请应试人员参加考试前,登录中国计算机技术职业资格网打印准考证。准考证打印系统于11月2日9∶00开放打印。
(二)2021年下半年计算机技术与软件专业技术资格(水平)考试在济南、青岛、济宁、东营、威海、日照、德州设置考区,报考信息处理技术员专业的应试人员在济南参加考试。
五、收费标准
根据工业和信息化部教育与考试中心《关于计算机软件专业技术资格考试等三项考试考务费标准的通知》(工信教〔2016〕111号)和《山东省人力资源和社会保障厅关于职业资格考试收费标准有关问题的通知》(鲁人社字〔2020〕180号)文件规定,计算机技术与软件专业技术资格(水平)考试费每人每科68元。
六、考试用书
考试大纲与教材信息请登录中国计算机技术职业资格网查询。
七、成绩管理
应试人员须一次通过所有考试科目,方可取得资格证书??际猿杉ㄔ谥泄扑慊际踔耙底矢裢檠?。
附件:2021年下半年计算机技术与软件专业技术资格(水平)考试时间及专业设置表
山东省人事考试中心
2021年7月14日






PM、PMP、PMO分别都是什么 以及三者的关系
pmp证书是不是烂大街了
PMP证书在国内挂靠一年多少钱
23个项目管理经典案例——一个成功的项目管理
手把手教你excel项目进度管理表甘特图
pmo是什么职位 有哪些工作职责
PMP十大培训机构哪个好
什么是ACP?ACP的含金量高吗?