软考备考每日试题(230304)
小羊
2023-03-03 10:18:23每期慧翔天地小编都会附上5~10道软考综合测试题,以帮助大家达到练习的效果,本期软考试题答案会附加在下一期的结尾。大家如果想了解2023年软考考试报考流程、报考时间、报考要求、软考报考费用、软考成绩查询、软考报考资格测评等等均可访问站内进行了解。
软考中高项备考刷题交流QQ群:221801769(点击一键加群)
36、某项目按工作量平均分配到10个月完成,每月成本相同,项目管理储备15万元。在项目进行到第三个月末时,项目实际花费为BAC的30%,完成总工作量的20%,如果不加以纠偏,根据当前进度,项目完工估算为120万元,则项目总预算为()万元。
A、80
B、85
C、90
D、95
37、四个项目甲、乙、丙、丁的工期均是四年,在前列年末时,各项目进度数据如下表所示,则最有可能在按时完工的同时并能更好控制成本的项目是()。

A、甲
B、乙
C、丙
D、丁
38、规划质量管理的目的是()。
A、准备对策,确保符合质量要求
B、建立对未来输出在完工时满足特定需求和期望的信心
C、评估绩效
D、确保项目满足承诺的需求
39、实施质量确保的主要作用是()。
A、明确项目的质量意识和质量需求
B、把质量目标分解落实到各部门及项目全体成员
C、促进质量过程改进
D、识别过程低效或产品质量低劣的原因
40、关于质量控制的描述,不正确的是()。
A、该过程所产生的数据为质量确保过程所用
B、工作绩效数据是该过程的输入
C、质量控制是审计质量要求
D、确认的变更是该过程的输出
(230303)答案
31、【试题解析】
高级教程第三版P245。
每个人对项目范围所关注的方面是不同的。
?。?)管理层所关注的项目范围,是指范围对项目的进度、资金和资源的影响,这些因素是否超过了组织承受范围,是否在投入产出上具有合理性。
?。?)客户主要关心的是产品的范围,关心项目的可交付成果是否足够完成产品或服务。
?。?)项目管理人员主要关注可交付成果是否足够和必须完成,时间、资金和资源是否足够,主要的潜在风险和预备解决的方法。
?。?)项目团队成员主要关心项目范围中自己参与的元素和负责的元素,通过定义范围中的时间检查自己的工作时间是否足够,自己在项目范围中是否有多项工作,而这些工作又有冲突的地方。
【参考答案】B
32、【试题解析】
高级教程第三版P273。
开始-开始(S-S型)关系,前序活动开始后,后续活动才能开始。
【参考答案】C
33、【试题解析】
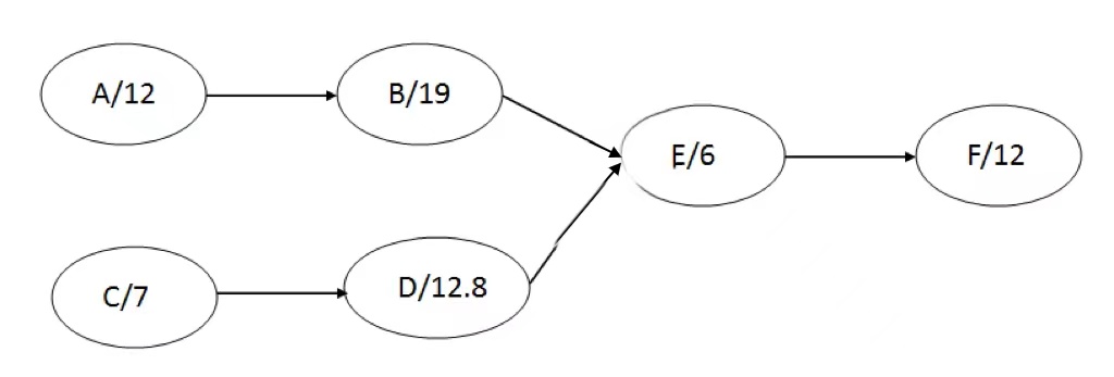
此题考察了三点估算和正态分布,正态分布属于特殊的β分布。
期望工期=(最乐观时间+4×最可能时间+最悲观时间)/6,根据此公式计算出A、B、C、D、E、F的期望工期,分别为:A=12,B=19,C=7,D=12.8,E=6,F=12。
根单代号网络图找出项目关键路径,关键路径为A-B-E-F,项目工期为12+19+6+12=49天,标准差为3.2天,那项目工期在(49-3.2×2,49+3.2×2),即(42.6,55.4)的概率为95%。所以答案为A。

【参考答案】A
34、【试题解析】
考查的是总时差的相关知识。
关键路径上的总时差为0,题干网络图中ADEH是关键路径,E活动在关键路径上,所以不能拖延,否则会导致工期被延长。
【参考答案】A
35、【试题解析】
考查的是PERT的相关知识。
三角分布:期望值=(乐观+最可能+悲观)/3=(105+最可能+悲观)/3=94
β分布:期望值=(乐观+4*最可能+悲观)/6=(105+4*最可能+悲观)/6=94.5
根据上面两个等式,解这组二元一次方程,可以求出最可能是95,悲观是82。
【参考答案】C





PM、PMP、PMO分别都是什么 以及三者的关系
pmp证书是不是烂大街了
PMP证书在国内挂靠一年多少钱
23个项目管理经典案例——一个成功的项目管理
手把手教你excel项目进度管理表甘特图
pmo是什么职位 有哪些工作职责
PMP十大培训机构哪个好
什么是ACP?ACP的含金量高吗?