PMP备考每日试题(2000628)
慧翔天地
2020-06-28 15:40:40PMP项目管理课程限时特价9.9元,挑战年薪30万,2020年度公益大课挑战年薪30万,慧翔天地手把手带你轻松学项目管理,从项目管理小白走向职场顶峰。8天课程,轻松学习,全程直播+课后回放与习题演练,仅需9.9元,详情可以点击上方广告图或者直接添加小助手VX:aihxtd(为便于审核通过备注来源于官网)。
每期慧翔天地小编都会附上5~10道PMP综合测试题,以帮助大家达到练习的效果,本期PMP试题答案会附加在下一期的结尾。大家如果想了解2020年PMP考试报考流程、报考时间、报考要求、PMP报考费用、PMP考试地点、PMP成绩查询、PMP报考资格测评等等均可访问站内进行了解。
1.下列都是范围管理计划的内容,除了:
A.是项目管理团队确定、记载、核实、管理和控制项目范围的指南。
B.说明了根据项目章程编制初步范围说明书的一个过程
C.确定如何维持与批准WBS的一个过程
D.控制项目范围说明书变更请求处理方式的一个过程
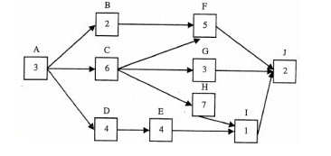
2.请阅读以下描述,在下面的网络图中,每个节点是一个活动,在方框中的数字表示工期的天数。关键路径是:

A.A-C-F-J
B.A-C-G-J
C.A-C-H-I-J
D.A-D-E-I-J
3.以下都是范围说明书的内容,除了:
A.产品范围说明书
B.项目要求说明书
C.控制帐户
D.项目配置管理要求
4.里程碑清单是哪个时间管理过程的输出:
A.活动定义
B.活动排序
C.活动所需时间估算
D.进度制定
5.滚动式规划是哪个时间管理过程的工具:
A.活动定义
B.活动排序
C.活动所需时间估算
D.进度制定
?。?00624)答案
1、C
2、D
3、A
4、C
5、C





PM、PMP、PMO分别都是什么 以及三者的关系
pmp证书是不是烂大街了
PMP证书在国内挂靠一年多少钱
23个项目管理经典案例——一个成功的项目管理
手把手教你excel项目进度管理表甘特图
pmo是什么职位 有哪些工作职责
PMP十大培训机构哪个好
什么是ACP?ACP的含金量高吗?