PMP备考每日试题(201124)
慧翔天地
2020-11-24 16:52:14
PMP项目管理课程限时特价9.9元,挑战年薪30万,2020年度公益大课挑战年薪30万,慧翔天地手把手带你轻松学项目管理,从项目管理小白走向职场顶峰。6天课程,轻松学习,全程直播+课后回放,仅需9.9元,想要报名的小伙伴可以点击上方广告图进行报名。
每期慧翔天地小编都会附上5~10道PMP综合测试题,以帮助大家达到练习的效果,本期PMP试题答案会附加在下一期的结尾。大家如果想了解2020年PMP考试报考流程、报考时间、报考要求、PMP报考费用、PMP考试地点、PMP成绩查询、PMP报考资格测评等等均可访问站内进行了解。
6.下列都是详细范围说明书编制的基础,除了( )。
A.主要可交付成果
B.假设和制约因素
C.初步范围说明书
D.范围管理计划
7.下列都是范围管理计划的内容,除了( )。
A.是项目管理团队确定、记载、核实、管理和控制项目范围的指南
B.说明了根据项目章程编制初步范围说明书的一个过程
C.确定如何维持与批准WBS的一个过程
D.控制项目范围说明书变更请求处理方式的一个过程
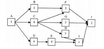
8.请阅读以下描述,在下面的网络图中,每个节点是一个活动,在方框中的数字表示工期的天数关键路径是( )。

A.A-C-F-J
B.A-C-G-J
C.A-C-H-I-J
D.A-D-E-I-J
9.以下都是范围说明书的内容,除了( )。
A.产品范围说明书
B.项目要求说明书
C.控制帐户
D.项目配置管理要求
10.里程碑清单是哪个时间管理过程的输出( )。
A.活动定义
B.活动排序
C.活动所需时间估算
D.进度制定
(201123)答案
1、C
2、D
3、A
4、C
5、C




PM、PMP、PMO分别都是什么 以及三者的关系
pmp证书是不是烂大街了
PMP证书在国内挂靠一年多少钱
23个项目管理经典案例——一个成功的项目管理
手把手教你excel项目进度管理表甘特图
pmo是什么职位 有哪些工作职责
PMP十大培训机构哪个好
什么是ACP?ACP的含金量高吗?